}

Harmonic Mitigation Design
Varelen delivers custom-engineered transformer solutions designed for hyperscale, colocation, and modular data centers. Our products meet the stringent requirements of EPC contractors, electrical consultants, and system integrators, offering continuous 24/7 operation, harmonic mitigation, and parallel redundancy support.
In modern data centers, uptime and power quality are mission-critical. Varelen transformers are optimized to handle non-linear loads, high harmonic currents, and dynamic operating conditions, enabling reliable and energy-efficient operation.
Data centers present unique challenges that standard distribution transformers cannot meet:
High harmonic currents from UPS systems, VFDs, and server power supplies
Continuous 24/7 operation, with near-zero tolerance for downtime
Redundancy requirements, including N+1, 2N, and 2(N+1) configurations
Thermal and noise constraints, especially for indoor installations
Scalability and future expansion for hyperscale or modular deployments
Energy efficiency and sustainability mandates for ESG compliance
Varelen’s transformers address these challenges by:
Supporting K-factor ratings for harmonic loads
Ensuring continuous full-load operation without overheating
Optimizing impedance for parallel transformer configurations
Reducing load and no-load losses for energy efficiency
Offering modular designs for scalable deployments
Formula 1 – Thermal Rise under Load
For a transformer with rated load Irated, and winding resistance , the temperature rise ΔT approximated as:
where is ambient temperature, and is the rated temperature rise.
Varelen provides tailored transformer solutions for different data center types.
Medium-voltage transformers: 10kV–66kV
Parallel operation and redundancy optimized
High short-circuit strength for mechanical stability
Advanced thermal design for continuous 24/7 load
Optional amorphous metal cores to reduce no-load losses by up to 70%
Example Case – Hyperscale Campus 50MW
| Parameter | Standard Transformer | Varelen Design |
|---|---|---|
| Capacity | 20MVA | 40MVA |
| Voltage | 33kV/0.4kV | 36kV/0.4kV |
| Harmonics | Not K-rated | K20, THDi < 5% |
| Parallel Redundancy | Limited | 2N optimized |
| Noise Level | 65–70 dB | <60 dB |
| Cooling | ONAN | ONAF, advanced thermal modeling |
Dry-type cast resin transformers
K-rated harmonic mitigating designs
Compact indoor footprint
Low noise (<60dB) for office-proximate environments
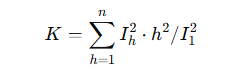
Engineering Insight: For non-linear loads, K-factor rating reduces winding overheating by a factor proportional to harmonic content.
Formula 2 – K-Factor Rating
where Ⅰh is the RMS current of harmonic , Ⅰ1 is the fundamental RMS current.
Pad-mounted dry-type or oil-immersed transformers
Rapid manufacturing and delivery
Integrated monitoring and protection systems
Designed for future expansion in modular facilities
Scenario: A modular 5MW edge data center requires a 10kV/0.4kV transformer capable of handling sudden load increases up to 120% rated capacity. Varelen’s design ensures <80°C hotspot rise and fully complies with IEEE C57.12.90 testing.
Substations require transformers with high reliability and precise voltage regulation.
Varelen offers:
Primary voltages: 10kV, 13.8kV, 22kV, 33kV, 36kV
Capacity up to 40MVA
Cooling types: ONAN, ONAF, hermetically sealed
Optimized no-load and load-loss design
Enhanced short-circuit withstand capacity
Design Table – Medium Voltage Substation Transformer
| Feature | Requirement | Varelen Solution |
|---|---|---|
| Rated Capacity | 10–40MVA | Custom design |
| Impedance | 4 – 8% | Optimized for parallel operation |
| Cooling | ONAN/ONAF | Advanced thermal simulation |
| Harmonics | THDi < 5% | K-rated / Zigzag options |
| Noise | <60dB | Low-noise indoor design |
| Short-Circuit Strength | 20kA | Mechanically reinforced |
Voltage Regulation Formula:

where = no-load voltage, = full-load voltage.
High-density data centers produce non-linear loads that damage standard transformers.
Solutions include:
K-rated transformers (up to K20)
Zigzag phase-shifting transformers
Delta-wye harmonic mitigation
Oversized copper windings and high-class insulation (155°C / 180°C)
Advanced thermal modeling for harmonic heat losses
Case Study – AI Data Center
Load: 10MW
UPS THDi: 28%
Varelen K13 transformer reduced hotspot temperature by 18°C, maintaining <120°C maximum winding temp, extending insulation life by 35%.
Efficiency is critical for PUE and operational cost reduction.
Optimized winding and core design reduces load/no-load losses
Optional amorphous cores reduce no-load loss up to 70%
Lower operating temperature increases transformer lifespan
Supports ESG initiatives and reduces carbon footprint
No-load Loss Comparison Table
| Transformer Type | No-load Loss (W) | % Improvement |
|---|---|---|
| Standard | 20,000 | – |
| Varelen Amorphous Core | 6,000 | 70% |
EPC engineers need predictive maintenance and lifecycle support:
Online load and temperature monitoring
Oil condition monitoring (oil transformers)
Remote diagnostics integration
FAT, SAT, and commissioning support
Case Insight: For a 33kV/0.4kV N+1 redundancy substation, Varelen provided parallel transformer impedance analysis, reducing circulating currents by 30% during simultaneous startup loads.
Varelen supports:
Busbar and connection customization
Impedance matching for parallel transformers
Short lead-time and fast-track options
Compliance with IEEE, IEC, and project-specific standards
Example – Hyperscale Campus 50MW
| Parameter | Varelen Proposal |
|---|---|
| Parallel Configuration | 2N, optimized impedance |
| Transformer Type | 36kV/0.4kV, K20 |
| Cooling | ONAF |
| Harmonics | THDi < 5% |
| Noise | <60dB indoor |
| Delivery | Fast-track 14 weeks |
EPC contractors, electrical consultants, and system integrators can submit project specifications for a custom proposal.
Required Inputs:
Company & contact info
Project location & capacity
Voltage & redundancy requirements
Single-line diagram (optional but recommended)
Required delivery date
CTA Examples:
“Submit Your Single-Line Diagram for Review”
“Request a Custom Data Center Transformer Proposal”
“Speak Directly with a Data Center Project Engineer”